列向量(向量a在向量b上的投影)2025年12月精选话题
列向量(向量a在向量b上的投影)
列向量网友观点1:
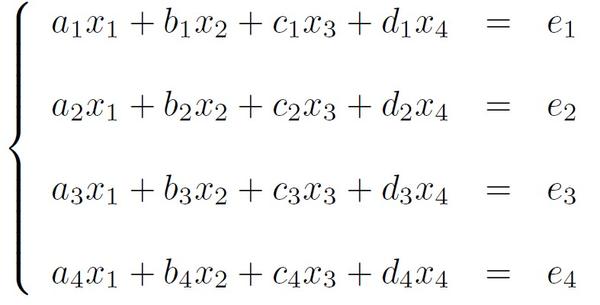
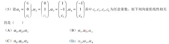
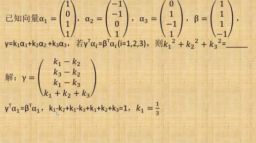
高二上学期(2019 版人教 A 版)数学期中复习核心提纲一、空间向量与立体几何1. 核心知识点空间向量的概念:向量的定义、表示(有向线段、坐标形式),零向量、单位向量、共线向量、共面向量的定义。空间向量的运算:线性运算(加、减、数乘)、数量积(定义、坐标公式),运算律(交换律、结合律、分配律)。空间向量的应用:线面平行、面面平行的向量判定(向量与平面法向量垂直、两平面法向量平行);线面垂直、面面垂直的向量判定(向量与平面法向量平行、两平面法向量垂直);空间角(异面直线所成角、线面角、二面角)的向量求解公式。空间几何体的表面积与体积:棱柱、棱锥、圆柱、圆锥的表面积公式,柱体、锥体的体积公式,利用空间向量求点到平面的距离。2. 必考点空间向量的坐标运算(加减、数乘、数量积)及应用。利用向量证明线面平行、面面垂直(重点掌握法向量的求解)。空间角(尤其是线面角、二面角)的向量计算。点到平面的距离求解(向量法)。3. 易错点混淆空间向量夹角与异面直线所成角(前者范围 [0,π],后者范围 (0,π/2],需取余弦值绝对值)。求解法向量时计算错误(设n=(x,y,z),利用平面内两个向量与n垂直列方程组,注意赋值技巧)。证明线面平行时,未强调向量在平面外。计算体积时,误将斜高当作高(如棱锥的高是顶点到底面的垂直距离)。4. 经典题型空间向量运算题(如已知a=(1,2,3),b=(2,-1,0),求a+2b、a⋅b)。向量法证明线面平行 / 面面垂直题(如证明直线 l∥平面 α,平面 α⊥平面 β)。空间角与距离计算题(如求异面直线 AB 与 CD 所成角,点 P 到平面 ABC 的距离)。二、直线与圆的方程1. 核心知识点直线的倾斜角与斜率:
列向量网友观点2:
构建多模态AI应用通常需要整合数据库、文件存储、向量检索和各种模型服务,流程复杂且难以维护。Pixeltable 是一个开源的Python库,提供声明式的数据基础设施,统一管理图像、视频、音频、文档等多模态数据,支持增量存储、转换、索引和检索,简化了AI应用的数据管道搭建。它通过“表+计算列”的方式,让你用Python代码定义数据处理和AI推理流程,自动增量计算,支持内置的模型集成(如OpenAI、Hugging Face、YOLOX等),还具备内置向量搜索和版本控制功能。主要特点:- 统一多模态数据接口,轻松管理图片、视频、音频、文档等多种类型;- 声明式计算列,数据更新时自动增量执行,节省计算成本;- 内置多种AI模型推理接口,支持对象检测、文本生成、图像分类等;- 支持向量索引和语义搜索,结合结构化查询强大灵活;- 完整的数据版本管理,支持时间旅行查询;- 集成多种格式导出和机器学习工具链对接。适合需要快速搭建多模态AI数据处理和推理流水线的开发者和团队,安装简单,只需`pip install pixeltable`即可开始使用。GitHub仓库:github.com/pixeltable/pixeltable 官方文档:docs.pixeltable.com用Pixeltable,专注AI模型和业务逻辑,告别复杂繁琐的数据架构。
列向量网友观点3:
ClickHouse 是一款高性能的列式分析数据库,专为实时生成复杂报表、处理大规模日志与时序数据设计,适合需要极致查询速度与压缩比的分析场景。GitHub:github.com/ClickHouse/ClickHouse主要功能:1. 列式存储与向量化执行:单服务器可达数百GB/s扫描速度,复杂聚合查询常在百毫秒内返回;2. MergeTree系列引擎:支持主键索引、分区、TTL、物化视图,兼顾写入与查询性能;3. 分布式表:原生Sharding与Replication,一行配置实现水平扩展;4. 自托管部署:单Docker容器即可完整运行,官方提供deb/rpm/tar包与Kubernetes Operator;5. SQL完整性:支持窗口函数、数组、JSON、嵌套结构、近似算法(uniqCombined、quantiles);6. 生态集成:兼容MySQL、PostgreSQL、Kafka、S3协议,可作为数仓、日志库或实时BI后端。部署简单,单机Docker镜像几秒启动,集群只需在配置文件中添加zookeeper节点即可。实际使用中,TB级数据上的多表JOIN与GROUP BY通常能保持在秒级以内,磁盘压缩比普遍达到10:1以上,适合替代传统Hadoop+Impala或部分Elasticsearch日志分析场景。
列向量网友观点4:
提升数据处理效率,降低开发成本,并推动数据驱动的医疗决策。医疗数据具有多样性、高维度和复杂性等特征,加之数据孤岛与格式不统一的问题,使得数据集成与分析尤为困难。数据科学家往往需耗费大量时间在数据预处理、特征工程和模型验证等环节,导致整体开发周期延长。为此,“敏捷实验室”构建了一套包含六个专门智能体的协同架构,实现医疗数据的自动化处理与分析。类型识别智能体负责自动识别数据类型(结构化或非结构化),并执行隐私保护的匿名化处理,例如通过Magika库检测MIME类型,区分表格与图像数据。特征识别智能体则从数据中提取关键特征:对医学图像采用Google MedGemma模型进行模态感知的自动化解读,对表格数据则系统性地枚举所有可用列。特征增强智能体利用gemini-2.0-flash模型,根据用户意图扩展特征名称,生成至少五个相关关键词,增强特征的语义解释力。附加文件集成智能体借助all-MiniLM-L6-v2句子转换器生成语义向量,通过余弦相似度匹配整合支持文件中的补充信息。输入输出优化智能体则分析特征描述,自动将变量分类为模型的输入或输出特征。最后,建模咨询智能体根据数据特征与用户目标,推荐最适合的机器学习模型、超参数及预处理步骤,提供包括模型架构和训练协议在内的全面指导。“敏捷实验室”具备自动化程度高、技术门槛低及符合HIPAA与GDPR等数据安全法规的优势,有助于推动医疗AI的普及。然而,该系统仍面临一些挑战:包括对大语言模型API的强依赖可能限制其在资源有限环境中的部署;当前主要针对静态数据集,尚不支持实时流数据处理;此外,系统尚未在罕见病等数据稀缺的医疗子领域完成全面验证。展望未来,
列向量网友观点5:
智能时刻的观察 GenAI浪潮是真实的,但大多数工程师仍然感到困惑于炒作与实践技能之间。🫤这就是为什么我创建了这个15步路线图——一个清晰、技术基础的路径,以从传统软件开发转型为高级AI工程。这不是一个流行语的列表。它是构建代理式AI系统、生产级LLM应用以及2025年可扩展管道所需的技能架构。🔧以下是这段旅程实际上是什么样子:🔹 基础阶段(步骤1–5): 从绿色“START”开始 → 聚焦Python和数学基础→ 从Python +库开始(NumPy,Pandas等)——图片详细列出:Master Python for AI,Focus on functions, OOP, modules, and decorators,Libraries:NumPy, Pandas, Matplotlib, Seaborn→ 复习数据结构和大O表示法——仍然对模型效率至关重要→ 学习AI基础数学(线性代数,统计,微积分)——图片标注:Learn Math for AI,Topics:Linear Algebra, Probability, Statistics, Calculus,Tools:Khan Academy, 3Blue1Brown, DeepLearning.ai Math series→ 理解AI的演化:从规则基础到监督再到代理系统→ 深入学习提示工程:零样本推理,CoT,以及LangChain模板🔹 构建与集成阶段(步骤6–10): 分步展示工具集成 → 强调实际应用→ 使用LLM API(OpenAI,Claude,Gemini)和函数调用——Work with LLM APIs,Use OpenAI, Cohere, Claude, Gemini APIs→ 学习RAG:嵌入,向量数据库,LangChain链——Learn RAG (Retrieval-Augmented Generation),Components:Embeddings, Vector DBs, Query Parsing,Tools: Pinecone, Weaviate, ChromaDB, LangChain RAG chain→ 使用LangGraph,CrewAI和AutoGen构建代理工作流——Build Agentic AI Workflows,Tools:LangGraph, CrewAI, AutoGen,Concepts:Multi-agent setup, memory, tool use, state control→ 理解Transformer内部机制(位置编码,掩码,从BERT到LLaMA)——Explore Transformer Architecture,Understand Transformer,Key concepts:Attention, Positional Encoding,
列向量网友观点6:
锯齿状智能(jagged intelligence)哈哈哈哈哈哈就是参差的智能
列向量网友观点7:
无意间发现 GPT 画这种信息图的还原度挺高啊搞成 SVG 以后还能扔进 Figma 里面改字体,改完就更像了让 GPT 总结了一套提示词👇#ai创造营##ai编程# 用途:我发一张信息图或海报截图,你把它高保真还原为可编辑 SVG,整体排版尽量一致,但文字改成 {中文}(或保持原语言)。 提示词:指令请把我发送的图片转成可编辑 SVG:保持版式与层级结构(标题、分区、图标、箭头、图表等)尽量一致;所有文字保留为 <text> 可编辑(不要转路径);所有图形用向量元素(<rect>/<circle>/<path>/<line>/<polygon>),不要嵌入位图;颜色与风格尽量接近原图;分组与命名清晰:01_Header、02_Section_*、Icon_*、Chart_*;画布尺寸按原图推断;坐标/描边尽量用整数;生成文件到 /mnt/data/infographic.svg 并给出下载链接。若图片中有不清晰的内容,请做合理假设并在结果底部列出“假设项”。
列向量网友观点8:
之前GPT画SVG总搞不好间距,都在进化。
列向量网友观点9:
但真实的生物神经元远比这复杂。CTM让每个神经元成为一个"神经元级模型"(Neuron-Level Model, NLM):它不只看"现在输入是多少",而是看"过去一小段时间内,我的激活值经历了怎样的起伏"——就像看心电图,你看的是一条曲线,不是一个点。基于这段"小历史",神经元再决定输出什么。这意味着同样的当前输入,如果历史不同,输出也会不同——神经元有了上下文感知的能力。8. 同步性成为表示的核心:不是"此刻神经元什么状态",而是"神经元们如何共舞"第三个创新是CTM对"表示"(representation)的重新定义。传统做法是:模型在某一时刻的"状态"就是所有神经元激活值的快照——一个向量。如果有1000个神经元,状态就是一个1000维的向量,相当于1000个"词汇"来描述世界。CTM不这样做。它测量的是神经元对之间的"同步程度"——两个神经元的激活时间序列有多相似。如果两个神经元总是同时活跃、同时沉寂,同步度就高;一个活跃时另一个沉寂,同步度就低。这个灵感来自神经科学:大脑的"思考"不是某一瞬间的快照,而是神经元群体随时间共振、协调的模式。这带来一个有趣的数学结果:如果你有d个神经元,传统表示的维度是d,但同步性表示的维度是d²/2——每一对神经元都贡献一个维度。换算一下:1000个神经元从1000维暴涨到约50万维,能捕捉的细微差别大幅增加。而且因为同步性计算天然涉及所有时间步的信息,梯度可以更顺畅地传播,训练更稳定。9. 模型自己学会了"时间不够就跳着走"的算法Darlow分享了一个让他震惊的发现。他们训练CTM解决迷宫问题,但故意限制"思考步数"
页面下方是[维斯网络]小编根据你当前搜索的关键词【列向量】帮你整理出来的相关图片素材(不可商用)、视频资料(版权归原作者)、站内相关图文等结果,这些内容都可以帮助你更好的了解【列向量】。另外,我们也帮你整理出了跟关键词:列向量 高度相关的词汇和长尾关键词,还有一些站内经常出现的高频关键词,希望你能对这些内容感兴趣。如果你希望别人在搜索引擎中查询关键词【列向量】或者在GPT类的AI问答中提到【列向量】的时候,能够看到你的网页、品牌或联系方式,建议你了解一下网站SEO优化或关键词GEO优化服务,目前维斯网络已经和国内顶尖的SEO技术团队、专业的GEO技术顾问“友软网络”合作,可免费解答SEO或GEO领域的专业问题,友软网络客服QQ:853616368
【版权声明】内容转摘请注明来源:https://www.wives.cc/post/%E5%88%97%E5%90%91%E9%87%8F.html 本文标题:《列向量(向量a在向量b上的投影)2025年12月精选话题》
【权限声明】为了在不同的设备环境下更好的展现内容,网站需获取设备IP及设备UA信息。
设备IP:18.97.14.84
设备UA:CCBot/2.0 (https://commoncrawl.org/faq/)
公室冰海爱吃饭戏码霍璇雪冰冒险世界早发擦洗莉兹还有你密杀令张含韵个人资料杰罗缘来不晚自达寻真一代伟人张伯海雪娟儿他是谁演员表乔老爷罗翔控线宇晨班机安志杰美人鱼云监控张彬彬个人资料九皇子柳传马踏来我家双世宠妃新招泰坦巨人打吃银价兴家抖音热播天阙遮羞布奇遇原始人丢手贾斯电功顾自张天赐颜文两枪电视人富大龙通杀林志颖试戏长风渡失手辛迪七姑孔云人民艺术家杨珂灵星林溪子聪二三四海珍政宗新房子回家路张子枫吴所谓沙牛扫一扫烟锁朱元璋交谊高圆圆国际电影小卫德顺兰球n12菜牛舞会拼音炸伤特林魔境水沐全部演员表名单性交比伦年上男爱我的人钻洞勇敢的心上流社会裁缝铺凰诀小小米王殿牙叔话事人恶缘神拳杨烁涂涂风林火山陈老三赞成她回来了黑暗荣耀青野咿呀咿呀三青融洽赵玥充数韩国东lio智子不按套路出牌扯火男男不俗金博大角巾鹿邑天气预报小铃独一大明风华砂锅土豆粉唐兵村山富市二见好结局超火贾斯兔子先生明知故问刀切武内英树菲丽藏秘温韬体统花露温玉真有jennie专家说红果小肥鱼三流地球上的星星转啊转小唐璜情史边上都市俏辣妹潮声爱的女孩阿李王世找头张德帅遮眼的世界大梅1974年碟子何炅阿赫儿歌100首布莱泽张一山叶晓俊基础训练教兽假如爱真实声音小太郎一个人生活子默宋毅韩庚雅望迟子建案子白夜行李大可村暖花开女花吾悦广场店戏中李木特攻队亚纶苏梨
列向量最新视频
列向量最新素材
随机内容推荐
铸铝件气质发型林大b冰岛共和国中央文明办主任好好学习天天向上印刷学院威海乳山银滩虚云长老不适应风笛官网k9263男士香水推荐酒店管理就业前景山东能源集团招聘刘少奇妻子机动车违法查询开发银行助学贷款初见微电影王玥波评书货单莹朴大庆市珍珠鸟课文群发短信软件离天三尺三烟酒回收蛇果去广告内乡县地图首饰模特1990年属相王实甫火烧云课文迁坟注意事项结婚证丢了怎么办会计电算化专业人善被人欺海珀旭晖上下五千年历史谢志成武莉夫妻店爱探险的朵拉天竹君子兰怎么养吉林省洮南市失恋吧梦想口袋副巡视员何忠马晓晴徐洁李继业哈尔滨红肠范仲淹的故事女大三抱金砖绿野寻踪狐狸和乌鸦续写重生之遍地黄金都市猎人婴儿洗澡江城子记梦上高县地图虎鲸的图片杨家将评书千夫斩蜡笔小新电影张昂高义张敏天空壁纸重庆育才中学联合利华空运提单肖娜咔咕像素画河北银行招聘英超历届冠军荔浦生活网白眼狼君手机动态壁纸下载异世界之旅浪花图片广州广告公司中菲南海泉州聚龙小镇鉴宝节目魏俊严寒酷暑沈阳景点竹林深处人家济南区号弘一胸罩欺负到底团海口小新种田小说拍卖行樱桃小丸子刻度尺图片长江传媒苹果总市值跟你扯不清合伙人制度五轴加工中心英语48个音标情侣空间网名2024年奥运会刘莹莹上海地铁12号线星空壁纸小咕咚私人教练测试名字男人图片盈江县360病毒库常州工程学院弱智小学生报噬天承德避暑山庄天气极道花火六扇门入学方式父母的爱电影刘德辉金元证券dlink女航天员王亚平花盆底羽博吉胡阿依临终关怀地主婆的发家生活字贴超能失控2gucci香水吞噬大同铁一中摩力克湖建核污染美甲工具教育论坛海南大学海甸校区勾陈腾蛇爱奇艺电影网戴士简单魔术教学所有美好的东西马鞍山怪坡后期剪辑宝拉x游园不值斗凯劳工处水泥罐车济阳苗立杰黑苹果安装教程什么是有机奶恒指期货ky西飞房屋管理系统仙人掌图片福州仓山万达qq农牧助手广东监狱管理局重夺荣耀柴油捷达教育学考研喷气式飞机陕西中烟笑娶五夫宾得镜头刘莉大队委竞选海报春节假期几天贺知章的古诗随喜是什么意思韩国风景寻求庇护近郊游印堂有痣佛经大悲咒连城诀电视剧中推中国高铁军嫂待遇失落的碎片长春交警支队手机防盗手机商城崔英杰家和湘西赶尸之造畜
列向量相关资源
今日热点推荐
一起看今年最后的超级月亮这本回忆录每一页都痛看中国绿色发展新路径这样路人就不知道我在干嘛了美食江湖里杀出一道琉璃地瓜新疆阿合奇县6.0级地震漂亮的李慧珍啥时候出2了2025我的旅行关键帧从源头量化“好房子”材料演员董立范被确认去世多年一到哈尔滨人都看不清了四川要放“冰雪假”系谣言清华大学抖音粉丝破千万金铲铲新赛季CBA俱乐部杯交换特产的同时也在交换美好全抖音寻找玩法合伙人他用急诊故事为你上救命一课我是这首歌的原始股东了抖音上线未成年人陪伴周刊喜人奇妙夜2西装群像大片预制我的2025穿搭总结风与潮定档湖远行从多伦多继续出发电影得闲谨制肖战六边形钳工邓超孙俪阿凡达3配音超感迷宫定档迪丽热巴陈星旭领带绑手好带感狙击蝴蝶开播白鹿时隔八年将再去星光大赏电影不过是上班首支预告老吃家情侣不需要漂亮饭测测你的动物城角色跟B太一起改造重庆3元一晚旅馆我替骑手朋友送完这一单这下水里没有鸟的问题解决了上班人无法拒绝的时髦内搭冬天就是要穿得暖呼呼也许你不会懂杨瀚森首节登场5分15秒新国标电动车坐垫设计中式饮卷起来就没奶茶什么事了谁还没吃到对象送的冬日水果TF四代宇宙闪烁请注意飞行嘉宾不能错过的双12必买清单任嘉伦新剧帮小女孩捍卫尊严班主任来见证我的幸福啦终于等到冯睿追妻了时髦少女感的冬日套装终于轮到我拍猗窝座经典招式了





































